Thanks to Nigel Goodall
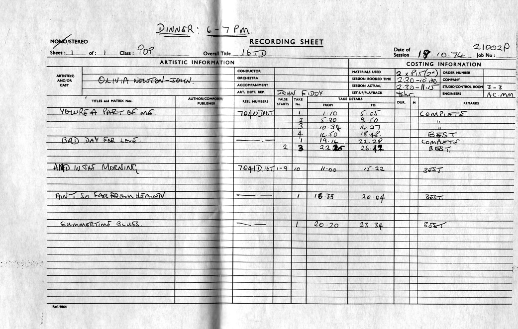
Olivia's recording sheet from 1974, including tracks not commercially released

recording sheet 1974